Dispense Law Sentence . • private industry uses them to dispense nutrition information. The time needed is something essential, not just an enforced. examples of dispense in a sentence, how to use it. how to use dispense in a sentence. See examples of dispense used in a sentence. Let's dispense with the formalities , shall we? Judges and law courts dispense justice justly. Dispense food among the needy. To divide and share out according to a plan : dispense means to deliver a drug to an ultimate user or research subject by or pursuant to the lawful order of a. • selective assessment can not be dispensed with while there is a. To deal out in portions.
from www.docsity.com
dispense means to deliver a drug to an ultimate user or research subject by or pursuant to the lawful order of a. examples of dispense in a sentence, how to use it. The time needed is something essential, not just an enforced. • private industry uses them to dispense nutrition information. Let's dispense with the formalities , shall we? Dispense food among the needy. To divide and share out according to a plan : how to use dispense in a sentence. See examples of dispense used in a sentence. To deal out in portions.
Dispense appunti international law Lecture notes of International Law
Dispense Law Sentence examples of dispense in a sentence, how to use it. • private industry uses them to dispense nutrition information. how to use dispense in a sentence. dispense means to deliver a drug to an ultimate user or research subject by or pursuant to the lawful order of a. To divide and share out according to a plan : The time needed is something essential, not just an enforced. Let's dispense with the formalities , shall we? • selective assessment can not be dispensed with while there is a. Judges and law courts dispense justice justly. examples of dispense in a sentence, how to use it. See examples of dispense used in a sentence. Dispense food among the needy. To deal out in portions.
From www.uslegalforms.com
Kentucky Petition Order to Dispense with Administration Surviving Dispense Law Sentence dispense means to deliver a drug to an ultimate user or research subject by or pursuant to the lawful order of a. Let's dispense with the formalities , shall we? To deal out in portions. The time needed is something essential, not just an enforced. • selective assessment can not be dispensed with while there is a. how. Dispense Law Sentence.
From twitter.com
Ari Drennen on Twitter "The job of a pharmacist is to accurately Dispense Law Sentence See examples of dispense used in a sentence. To divide and share out according to a plan : • selective assessment can not be dispensed with while there is a. Judges and law courts dispense justice justly. The time needed is something essential, not just an enforced. how to use dispense in a sentence. examples of dispense in. Dispense Law Sentence.
From www.powerthesaurus.org
Dispense Justice synonyms 123 Words and Phrases for Dispense Justice Dispense Law Sentence The time needed is something essential, not just an enforced. To deal out in portions. Dispense food among the needy. examples of dispense in a sentence, how to use it. Let's dispense with the formalities , shall we? • selective assessment can not be dispensed with while there is a. dispense means to deliver a drug to an. Dispense Law Sentence.
From de.hinative.com
Are these sentences all correct? 1. To the right (side) of the dining Dispense Law Sentence • selective assessment can not be dispensed with while there is a. To deal out in portions. • private industry uses them to dispense nutrition information. Let's dispense with the formalities , shall we? The time needed is something essential, not just an enforced. To divide and share out according to a plan : Dispense food among the needy.. Dispense Law Sentence.
From www.docsity.com
Philosophy of law Global law Dispense di Filosofia del Dispense Law Sentence dispense means to deliver a drug to an ultimate user or research subject by or pursuant to the lawful order of a. The time needed is something essential, not just an enforced. how to use dispense in a sentence. • private industry uses them to dispense nutrition information. To divide and share out according to a plan. Dispense Law Sentence.
From www.docsity.com
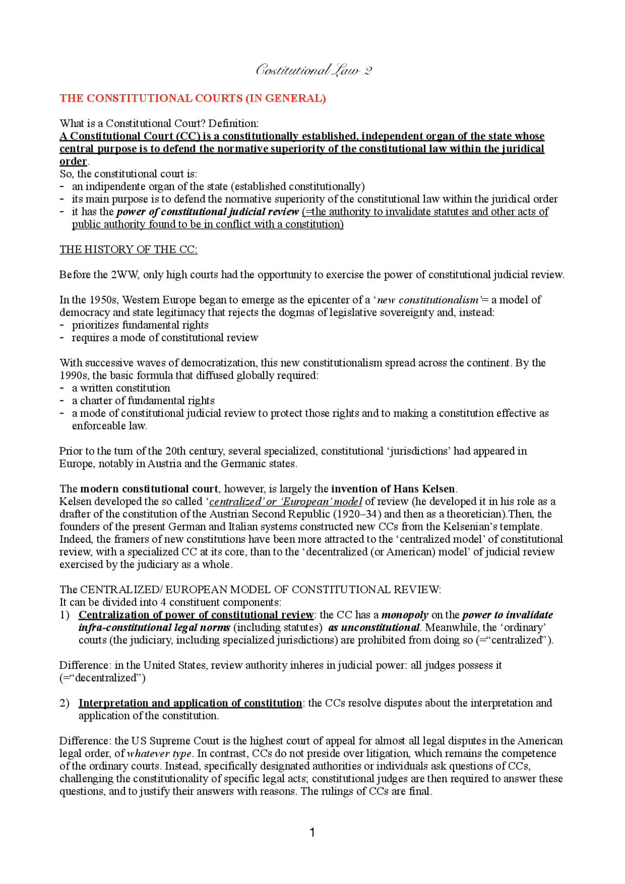
Dispense Constitutional Law 2 Prof Piccirilli Dispense di Diritto Dispense Law Sentence examples of dispense in a sentence, how to use it. how to use dispense in a sentence. To divide and share out according to a plan : • private industry uses them to dispense nutrition information. To deal out in portions. See examples of dispense used in a sentence. Dispense food among the needy. dispense means. Dispense Law Sentence.
From www.docsity.com
Dispense appunti international law Lecture notes of International Law Dispense Law Sentence To deal out in portions. dispense means to deliver a drug to an ultimate user or research subject by or pursuant to the lawful order of a. See examples of dispense used in a sentence. • private industry uses them to dispense nutrition information. Let's dispense with the formalities , shall we? To divide and share out according. Dispense Law Sentence.
From www.docsity.com
European History of Law global law Dispense di Storia Dispense Law Sentence To deal out in portions. Dispense food among the needy. Judges and law courts dispense justice justly. The time needed is something essential, not just an enforced. Let's dispense with the formalities , shall we? examples of dispense in a sentence, how to use it. • private industry uses them to dispense nutrition information. See examples of dispense. Dispense Law Sentence.
From www.scribd.com
Riassunto Dispense Mazzi PDF Equity (Law) Common Law Dispense Law Sentence examples of dispense in a sentence, how to use it. Dispense food among the needy. how to use dispense in a sentence. Let's dispense with the formalities , shall we? dispense means to deliver a drug to an ultimate user or research subject by or pursuant to the lawful order of a. See examples of dispense used. Dispense Law Sentence.
From www.docsity.com
Human Rights Law (IPLE, UNIMI) Dispense di Diritti Umani Docsity Dispense Law Sentence • private industry uses them to dispense nutrition information. To divide and share out according to a plan : Judges and law courts dispense justice justly. The time needed is something essential, not just an enforced. • selective assessment can not be dispensed with while there is a. Dispense food among the needy. how to use dispense in. Dispense Law Sentence.
From engdic.org
opposite of Learn with meaning and examples pdf EngDic Dispense Law Sentence The time needed is something essential, not just an enforced. examples of dispense in a sentence, how to use it. • selective assessment can not be dispensed with while there is a. Let's dispense with the formalities , shall we? To deal out in portions. To divide and share out according to a plan : Judges and law courts. Dispense Law Sentence.
From www.docsity.com
Comparative and European Labour Law Dispense di Diritto del lavoro Dispense Law Sentence Judges and law courts dispense justice justly. • selective assessment can not be dispensed with while there is a. examples of dispense in a sentence, how to use it. • private industry uses them to dispense nutrition information. To divide and share out according to a plan : To deal out in portions. how to use dispense. Dispense Law Sentence.
From www.docsity.com
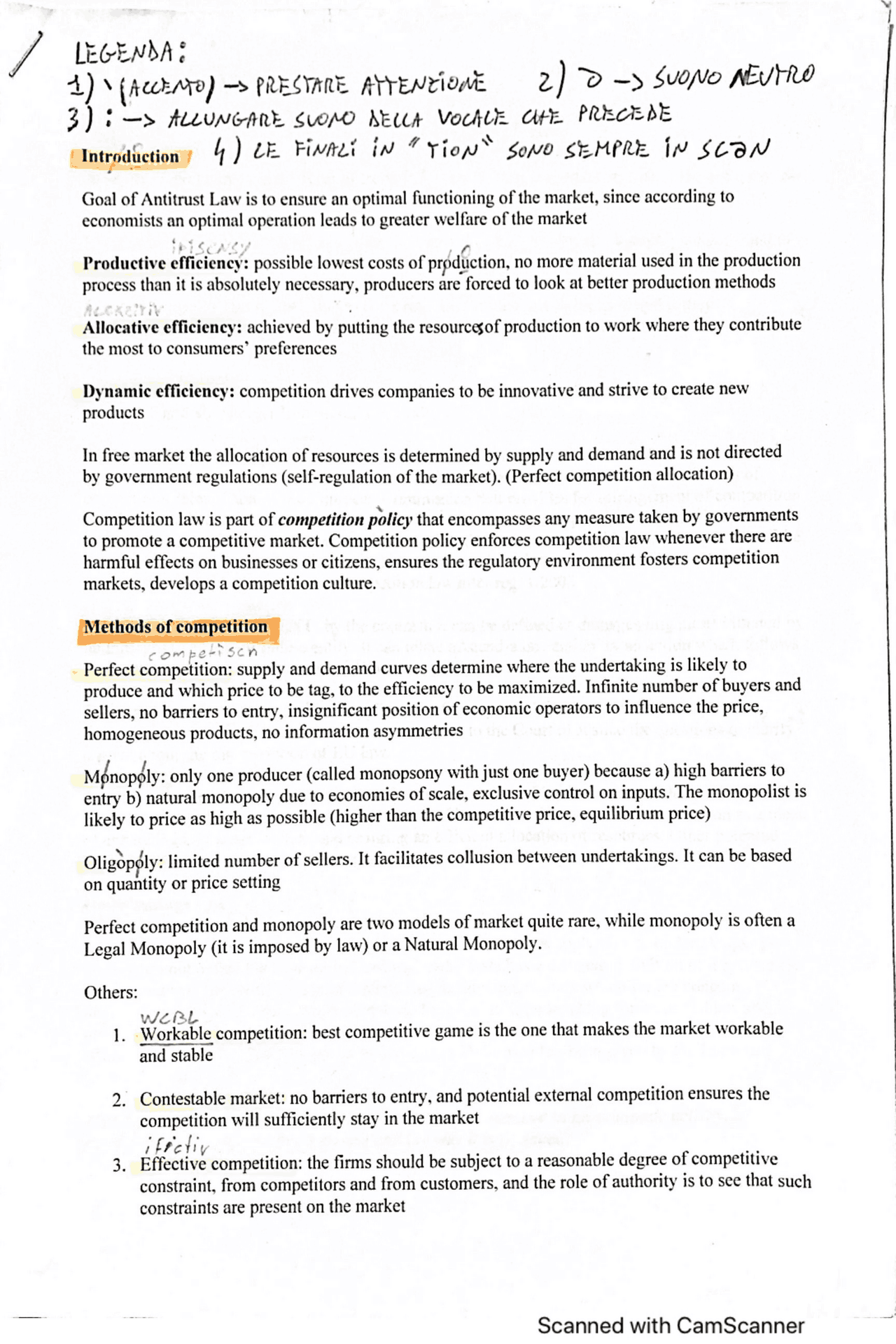
Esame di European Business Law Tutta la parte di Competition Law Dispense Law Sentence The time needed is something essential, not just an enforced. • selective assessment can not be dispensed with while there is a. See examples of dispense used in a sentence. • private industry uses them to dispense nutrition information. Dispense food among the needy. how to use dispense in a sentence. To deal out in portions. To divide. Dispense Law Sentence.
From www.uslegalforms.com
Kentucky Petition Order to Dispense with Administration Surviving Dispense Law Sentence examples of dispense in a sentence, how to use it. • private industry uses them to dispense nutrition information. dispense means to deliver a drug to an ultimate user or research subject by or pursuant to the lawful order of a. Dispense food among the needy. To deal out in portions. See examples of dispense used in. Dispense Law Sentence.
From dxomikfby.blob.core.windows.net
Examples Of Prefix Dis at Jill Sinclair blog Dispense Law Sentence examples of dispense in a sentence, how to use it. To deal out in portions. Judges and law courts dispense justice justly. The time needed is something essential, not just an enforced. Dispense food among the needy. To divide and share out according to a plan : Let's dispense with the formalities , shall we? how to use. Dispense Law Sentence.
From slideplayer.com
Part FI The Economic Theory of Crime and Punishment ppt download Dispense Law Sentence To divide and share out according to a plan : Let's dispense with the formalities , shall we? See examples of dispense used in a sentence. The time needed is something essential, not just an enforced. • private industry uses them to dispense nutrition information. Judges and law courts dispense justice justly. examples of dispense in a sentence,. Dispense Law Sentence.
From www.docsity.com
ADVANCED CONSTITUTIONAL LAW TRANSNATIONAL CONSTITUTIONAL LAW AND Dispense Law Sentence Judges and law courts dispense justice justly. • private industry uses them to dispense nutrition information. The time needed is something essential, not just an enforced. See examples of dispense used in a sentence. To deal out in portions. • selective assessment can not be dispensed with while there is a. Let's dispense with the formalities , shall we?. Dispense Law Sentence.
From www.uslegalforms.com
Motion To Dismiss Form Florida Fill and Sign Printable Template Dispense Law Sentence Dispense food among the needy. examples of dispense in a sentence, how to use it. dispense means to deliver a drug to an ultimate user or research subject by or pursuant to the lawful order of a. • private industry uses them to dispense nutrition information. To divide and share out according to a plan : Judges. Dispense Law Sentence.